发表期刊: ISA Transactions, 2020 (JCR Q1, 中科院2区, SCI)
原文DOI: https://doi.org/10.1016/j.isatra.2020.08.017
作者列表:
1) 张明卿 中国石油大学(北京)信息科学与工程学院 自动化系博18
2) 罗雄麟 中国石油大学(北京)信息科学与工程学院 自动化系
采用高效的过程监控技术是保证过程运行安全、提高产品质量的关键。为此,本文设计了一种改进的基于动态核分解的典型变量分析方法,用于解决动态非线性过程质量监控问题。与传统的典型变量分析及其扩展核方法不同,该方法的主要目的是在输入动态核隐变量和输出变量之间建立一个偏相关非线性模型,并且对此非线性模型进行正交分解,得到与质量完全相关的子空间特征。此外,考虑到隐变量特征依然存在时序性,详细推导了质量相关子空间特征的过去和未来向量的Hankel矩阵,构造相应的统计度量。
为解决工业过程故障监测与诊断问题,多元统计过程监测(MSPM)成为近十年来研究的重点。其代表方法主要有主成分分析(PCA)、偏最小二乘法(PLS)和典型变量分析(CVA)。尽管PCA和PLS已经进行了大量的研究,但两种方法的实现都存在静态和线性的假设前提。在实际工业过程中,这些假设是不可能被保证的。过程中的当前变化取决于被测变量的历史数据。为了克服这一问题,提出了动态PCA和动态PLS方法。通过引入时滞,可以反映数据对时间的依赖性。CVA是一种子空间识别(SSI)监测方法,它提取过去和未来向量的Hankel矩阵的最大相关性,以实现过程监控。尽管CVA、DPCA和DPLS都是用来提取动态特征的,但它们仍然处理的是线性关系。在大多数工业过程中,变量之间实际上是高度非线性的,因此,这些线性方法在各种实际情况下的应用受到限制。
本文讨论的是非线性动态过程的质量监控。首先建立输入—输出之间的ARX模型来提取动态特性。随后,将输入动态增广特征投影到高维核空间中,建立输入动态核隐变量与输出之间的偏相关模型。采用正交分解分解偏相关模型,实现输出质量相关性最大化的特征,并详细推导其过去向量与未来向量的Hankel矩阵形式,构造统计监控量。最后,通过数值仿真,田纳西-伊斯曼过程和实际工业过程带钢热轧为例验证了目的方法的有效性。在这里,由于建立动态核隐变量与输出之间的偏相关性模型,使得计算复杂度大大降低。
Step1.给定系统的输入输出形式
,为提取输入输出之间的动态特征,建立输入-输出ARX模型。

将输入
投影到高维空间
,得到
。归一化处理得到
。求取二者之间的协方差
,并进行正交分解得到左右两个矩阵U和V。

Step2.定义两个变量
,其中,
![]()
是完全相关于
。
独立性证明: ![]()
Step3.扩展
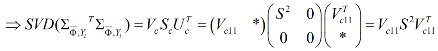
方差形式,并进行奇异值分解得到负载向量。

其中
。
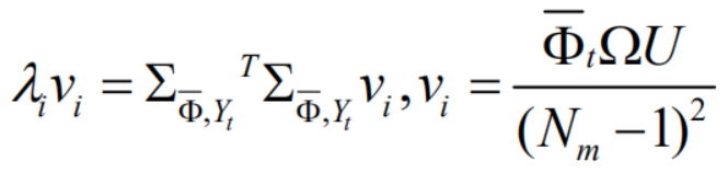
,则有
然而,直接求取
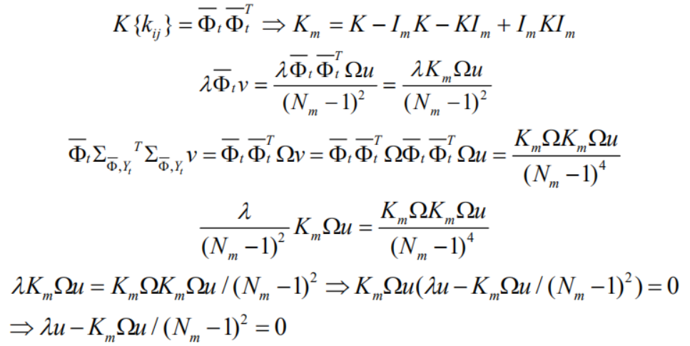
是困难的,将其转化为核矩阵的形式并进行归一化处理。

因此,最终得到的非线性动态模型的特征以及对应的Hankel矩阵为:

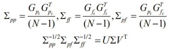
Step4.求取对应的协方差以及交叉协方差,具体如下,

最终得到用于计算统计监控量的具体形式:
![]()
内空间统计量: ![]()
残差空间统计量: ![]()
对于实时采样数据或者在线操作过程数据到来时,对比统计量与控制限的大小,若超过控制限,则系统判定为故障发生,否则系统正常。

以带钢热轧过程为例,该故障是由F4辊隙控制执行器故障引起的。故障发生后,F4辊隙采样受到影响,随后,由于反馈控制的作用,后续机架的辊缝和轧制力会发生变化,从而影响最后一机架的出口厚度。作为一种与质量有关的故障,故障发生在过程运行20s后,即从2000个采样点检测到故障出现。
实验结果:本文对比了5种方法,分别为DKPCA,CVA,KCVA,IKCVA以及目的方法DKDCVA。五种方法均能在2000个采样点上测试到故障的发生。然而,DKDCVA方法得到的误检率与漏检率均最低,尤其是在主成分空间。结果说明,本文方法在不牺牲假阴性率的前提下,降低了假阳性率,而且提出的DKDCVA方法有效地保留用于质量监控的最大特征,从而可以更直观地得到DKDCVA方法的监测优势。





罗雄麟,博士
现任中国石油大学(北京)教授、博士生导师、自动化专业(教育部高等学校特色专业)负责人、控制科学与工程(博士一级)学科负责人,校学术委员会委员、校学位委员会委员。北京人工智能学会理事会常务理事、北京自动化学会理事会常务理事。
控制理论与过程控制、化工系统工程、机器学习学者。科研工作涉及控制理论及应用、过程控制工程、过程系统工程和机器学习等,同时长期从事炼油化工过程软测量仪表与先进控制、过程流程模拟与实时优化等技术开发与工程应用工作。